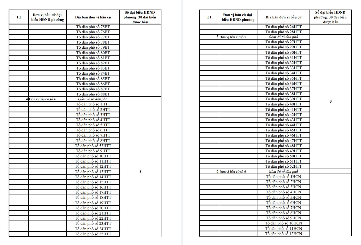
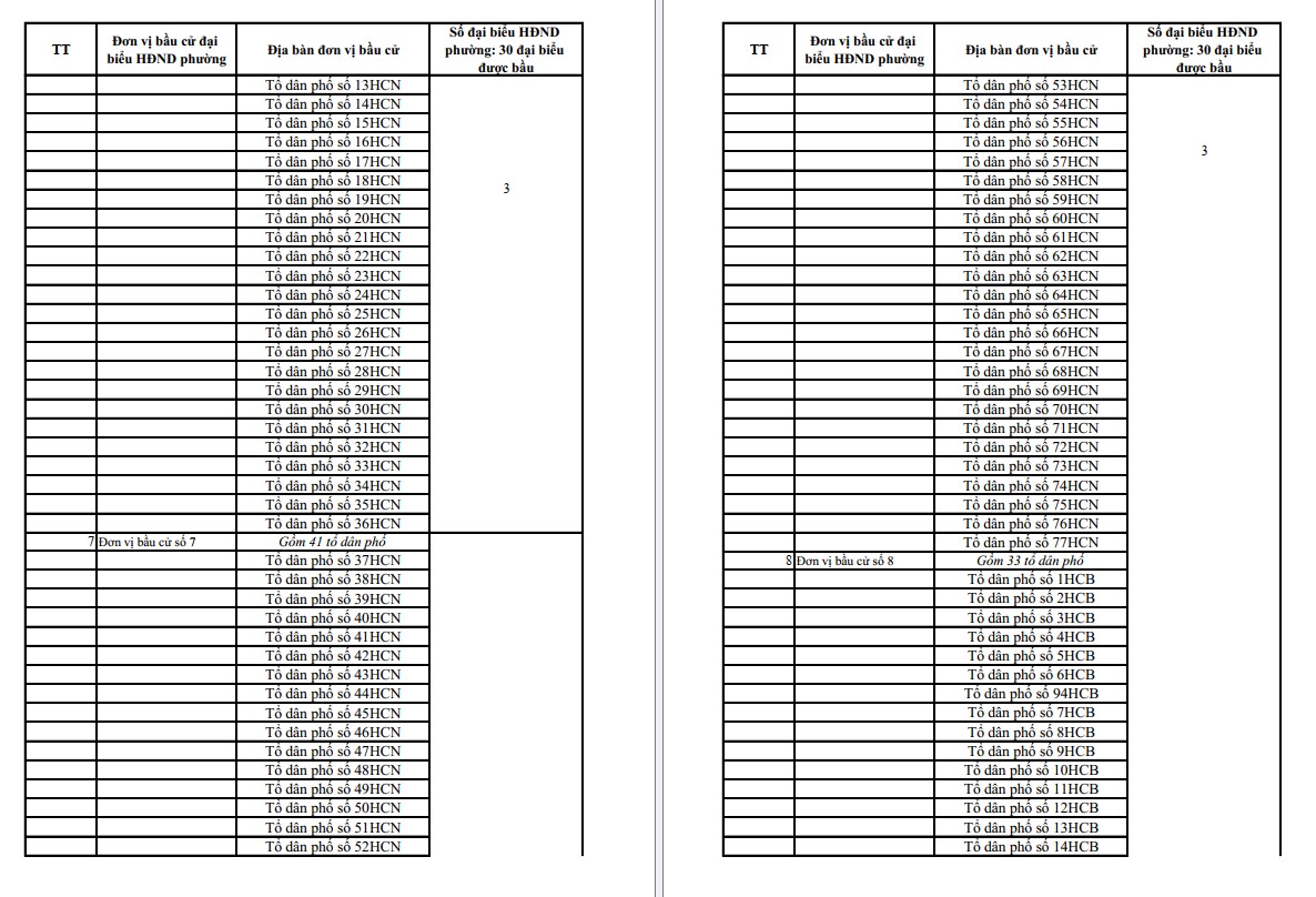
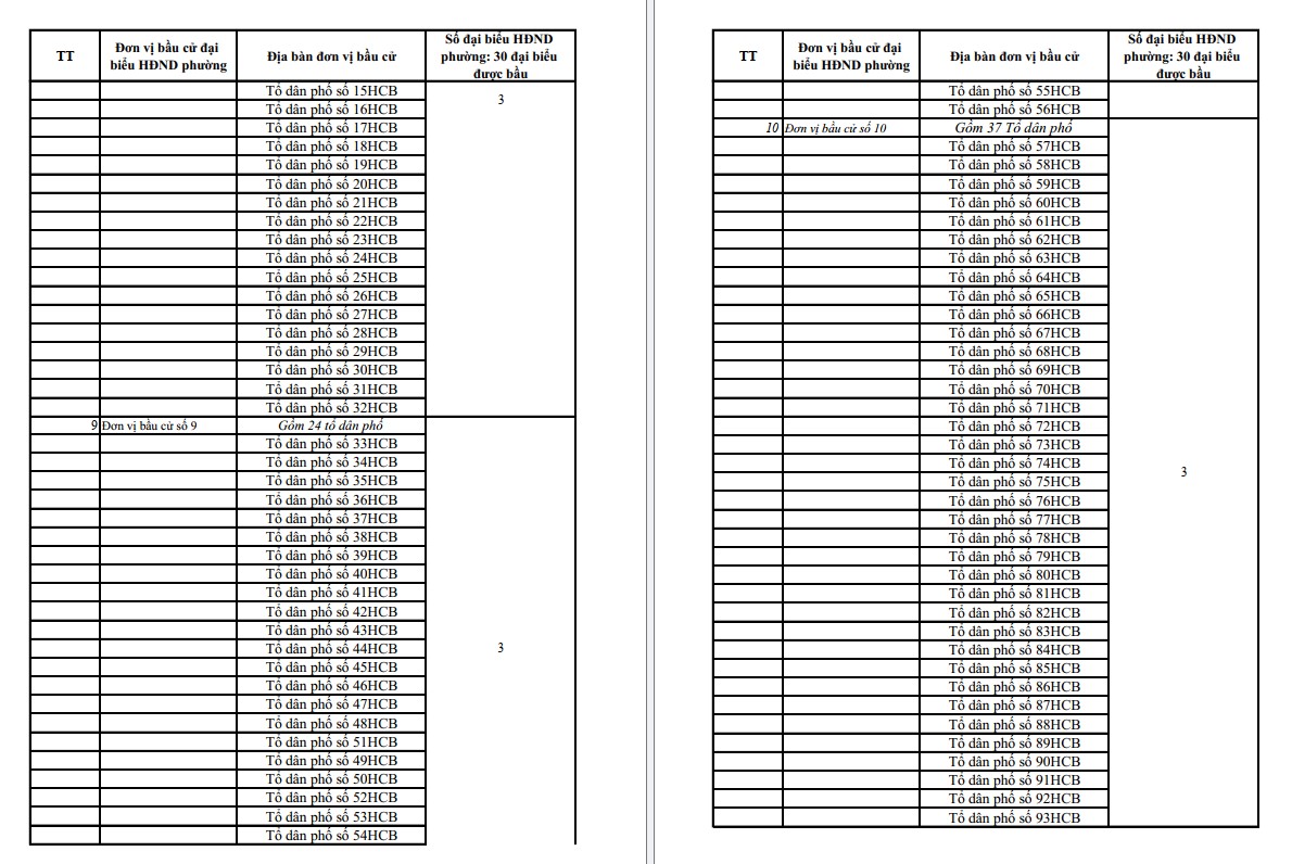
CÔNG BỐ SỐ ĐƠN VỊ, DANH SÁCH CÁC ĐƠN VỊ BẦU CỬ VÀ SỐ LƯỢNG ĐẠI BIỂU ĐƯỢC BẦU Ở MỖI ĐƠN VỊ BẦU CỬ
Ủy ban Bầu cử

Bình luận
Bình luận, ý kiến của bạn
Tin liên quan
-
• THÔNG BÁO LỊCH TIẾP CÔNG DÂN
-
• PHƯỜNG HÒA CƯỜNG TRIỂN KHAI CÁC BƯỚC CHUẨN BỊ CHO TỔNG ĐIỀU TRA KINH TẾ NĂM 2026
-
• DANH SÁCH CÔNG KHAI KẾT QUẢ KIỂM TRA HỒ SƠ ĐĂNG KÝ, CẤP GIẤY CHỨNG NHẬN THỬA ĐẤT (K448/H63/12 Trưng Nữ Vương)
-
• Thông báo niêm yết công khai Bản mô tả ranh giới, mốc giới (K312/8 Núi Thành)
-
• CÔNG KHAI KẾT QUẢ KIỂM TRA HỒ SƠ ĐĂNG KÝ, CẤP GIẤY CHỨNG NHẬN (433/3 Trưng Nữ Vương)
-
• TRUNG TÂM PHỤC VỤ HÀNH CHÍNH CÔNG PHƯỜNG HÒA CƯỜNG TRAO QUÀ CHƯƠNG TRÌNH “MẸ ĐỠ ĐẦU” CHO TRẺ EM CÓ HOÀN CẢNH KHÓ KHĂN TRÊN ĐỊA BÀN PHƯỜNG

